Back to Home Page of CD3WD Project or Back to list of CD3WD Publications

Mechanics of materials

Contents - Previous - Next

Direct Stress

When a force is transmitted through a body, the body tends to change its shape. Although these deformations seldom can be seen by the naked eye, the many fibres or particles which make up the body, transmit the force throughout the length and section of the body, and the fibres doing this work are said to be in a state of stress. Thus, a stress may be described as a mobilized internal reaction which resists any tendency towards deformation. Since the effect of the force is distributed over the cross-section area of the body, stress is defined as force transmitted or resisted per unit area.

Thus Stress =Force/Area

The unit for stress in S.l. is newtons per square metre (N/m²). This is also called a Pascal (Pa). However, it is often more convenient to uses the multiple N/mm².

Note that 1N /mm² = 1 MN 1 m² = 1 M Pa

Tensile and compressive stress, which result from forces acting perpendicular to the plane of cross section in question, are known as normal stress and are usually symbolized with (the Greek letter sigma), sometimes given a suffix t for tension (at) or a c for compression (c). Shear stress is produced by forces acting parallel or tangential to the plane of cross section and is symbolized with r (Greek letter tau).

Tensile Stress

Example 8

Consider a steel bar which is thinner at the middle of its length than elsewhere, and which is subject to an axial pull of 45kN.

If the bar were to fail in tension, it would be due to breaking where the amount of material is a minimum. The total force tending to cause the bar to fracture is 45kN at all cross sections, but whereas the effect of the force is distributed over a cross-sectional area of 1200mm² for part of the length of the bar, it is distributed over only 300mm² at the middle position. Thus, the tensile stress is greatest in the middle and is: at = 300 2 = 15ON/mm²

Compressive Stress

Example 9

A brick pier is 0.7m square and 3m high and weighs l9kN/ m³. It is supporting an axial load from a column of 490kN. The load is spread uniformly over the top of the pier, so the arrow shown merely represents the resultant of the load. Calculate a) the stress in the brickwork immediately under the column, b) the stress at the bottom of the pier.

Solution a

Cross-section area = 0.49m²

Stress = s c = 490kN / 0,49m2 = l000kN/ m² or 1 N/mm²

Solution b

Weight of pier: = 0.7m x 0.7m x 3.0m x 19kN/m³ = 28kN

Total load = 490 + 28 = 518kN and

Stress = s c = 518kN / 0.49m2 = 1057kN/ m² or 1.06N/mm²

Shear Stress

Example 10

A rivet is connecting two pieces of flat steel. If the loads are large enough, the rivet could fail in shear, i.e., not breaking but sliding of its fibres. Calculate the shear stress of the rivet when the steel bars are subject to an axial pull of 6kN.

Diagrams

Note that the rivets do, in fact, strengthen the connection by pressing the two steel bars together, but this strength, due to friction, cannot be calculated easily and is therefore neglected, i.e., the rivet is assumed to give all strength to the connection.

Cross-section area of rivet = 1/4 x P x 102 = 78.5 mm²
Shear stress = r = 6kN / 78.5mm2 = 76N/mm²

Strain

When loads of any type are applied to a body, the body will always undergo dimension changes, this is called deformation. Thus, tensile and compressive stresses cause changes in length; torsional-shearing stresses cause twisting, and bearing stresses cause indentation in the bearing surface.

In farm structures, where mainly a uniaxial state of stress is considered, the major deformation is in the axial direction. There are always small deformations present in the other two dimensions, but they are seldom of significance.

Direct Strain = Change in length / Original length = e = D L

By definition strain is a ratio of change and thus it is a dimensionless quantity.

Elasticity

All solid materials will deform when they are stressed, and as the stress is increased, the deformation also increases. In many cases, when the load causing the deformation is removed, the material returns to its original size and shape and is said to be elastic. If the stress is steadily increased, a point is reached when, after the removal of the load, not all of the induced strain is recovered. This limiting value of stress is called the elastic limit. Within the elastic range, strain is proportional to the stress causing it. This is called the modulus of elasticity. The greatest stress for which strain is still proportional is called the limit of proportionality (Hooke's law).

Thus, if a graph is produced of stress against strain as the load is gradually applied, the first portion of the graph will be a straight line. The slope of this straight line is the constant of proportionality, modulus of elasticity (E), or Young's modulus and should be thought of as a measure of the stiffness of a material.

Modulus of elasticity = E = Stress/Strain = FL/AD L

The modulus of elasticity will have the same units as stress (N/mm²). This is because strain has no units.

A convenient way of demonstrating elastic behaviour is to plot a graph of the results of a simple tensile test carried out on a thin mild-steel rod. The rod is hung vertically and a series of forces applied at the lower end. Two gauge points are marked on the rod and the distance between them measured after each force increment has been added. The test is continued until the rod breaks.

Figure 4.1 Behaviour of mild-steel rod under tension.

Example 11

Two timber posts, 150mm square and 4m high, are subject to an axial load of 108 kN each. One post is made of pine timber (E = 7800N/mm²) and the other is Australian blackwood (E = 15300N/mm²). How much will they shorten due to the load?

Cross-section area A = 22500mm²; length L = 4000mm

Pine: D L = FL / AE= (108000 x 4000) / (22500 x 15300) = 1.3m

Australian blackwood: D L = (108000 x 4000) / (22500 x 15300) = 1.3mm

Factor of Safety

The permissible stresses must, of course, be less than the stresses which would cause failure of the members of the structure; in other words there must be an ample safety margin. (In 2000 B.C. a building code declared the life of the builder be forfeited should the house collapse and kill the owner).

Also deformations must be limited since excessive deflection may give rise to troubles such as cracking of ceilings, partitions and finishes, as well as adversely affecting the functional needs.

Structural design is not an exact science, and calculated values of reactions, stresses etc., whilst they may be mathematically correct for the theoretical structure (i.e., the model), may be only approximate as far as the actual behaviour of the structure is concerned.

For these and other reasons it is necessary to make the design stress, working stress, allowable stress and permissible stress less than the ultimate stress or the yield stress. This margin is celled factor of safety.

Design stress = [Ultimate (or yield) stress]/Factor of safety

In the case of a material such as concrete, which does not have a well-defined yield point, or brittle materials which behave in a linear manner up to failure, the factor of safety is related to the ultimate stress (maximum stress before breakage). Other materials, such as steel, have a yield point where a sudden increase in strain occurs, and at which point the stress is lower than the ultimate stress. In this case, the factor of safety is related to the yield stress in order to avoid unacceptable deformations.

The value of the factor of safety has to be chosen with a variety of conditions in mind, such as:

However, values of 3 to 5 are normally chosen when the factor of safety is related to ultimate stress and values of 1.4 to 2.4 when related to yield-point stress.

In the case of building materials such as steel and timber, different factors of safety are sometimes considered for common loading systems and for exceptional loading systems in order to save materials. Common loadings are those which occur frequently, whereas a smaller safety margin may be considered for exceptional loadings, which occur less frequently and seldom with full intensity, e.g., wind pressure, earthquakes, etc.

Structural elements and loading

Applied Loads

These fall into three main categories: dead loads, wind loads and other imposed loads.

Dead loads are loads due to the self-weight of all permanent construction, including roof, walls, floor, etc. The self- weights of some parts of a structure, e.g., roof cladding, can be calculated from the manufacturer's data sheets, but the self-weight of the structural elements cannot be accurately determined until the design is completed. Hence estimates of self-weight of some members must be made before commencing a design analysis and the values checked at the completion of the design.

Wind loads are imposed loads, but are usually treated as a separate category owing to their transitory nature and their complexity. Very often wind loading proves to be the most critical load imposed on agricultural buildings. Wind loads are naturally dependent on wind speed, but also on location, size, shape, height and construction of a building.

Specific information concerning various types of loads is presented in Chapter 5.

In designing a structure, it is necessary to consider which combination of dead and imposed loads can give rise to the most critical condition of loading. Not all the imposed loads will necessarily reach their maximum values at the same time. In some cases, for example light open sheds, wind loads may tend to cause the roof structure to lift, producing an effect opposite in direction to that of the dead load.

Imposed loads are loads related to the use of the structure and to the environmental conditions, e.g., weight of stored products, equipment, livestock, vehicles, furniture and people who use the building. Imposed loads include earthquake loads, wind loads and snow loads where applicable; and are sometimes referred to as superimposed loads, because they are in addition to the dead loads.

Dynamic loading is due to the change of loading, resulting directly from movement of loads. For example, a grain bin may be effected by dynamic loading if filled suddenly from a suspended hopper; it is not sufficient to consider the load only when the bin is either empty or full.

Principle of Superposition

This states that the effect of a number of loads applied at the same time is the algebraic sum of the effects of the loads, applied singly.

Using standard load cases, and applying the principle of superposition, complex loading patterns can be solved. Standard case values of shear force, bending moment or deflection at particular positions along a member can be evaluated and then the total value of such parameters for the actual loading system found by algebraic summation.

Effects of Loading

When the loads have been transformed into definable load systems, the designer must then consider how the loads will be transmitted through the structure. Loads are not transmitted as such, but as load effects.

When considering a structural member which occupies a certain space, it is usual to orientate the Cartesian z-z axis along the length of the member and the x-x and y-y axes along the horizontal and vertical cross-sectional axes respectively.

Primary Load Effects

A primary load effect is defined as being the direct result of a force or a moment, which has a specific orientation with respect to the three axes. Any single load or combination of loads can give rise to one or more of these primary load effects. In most cases a member will be designed basically to sustain one load effect, usually the one producing the greatest effect. In more complex situations the forces and moments are resolved into their components along the axes and then the load effects are first studied separately for one axis at a time, and then later their combined effects are considered when giving the member its size and shape.

The choice of material for a member may be influenced to some extent by the type of loading. For instance, concrete has little or no strength in tension and can therefore hardly be used by itself as a tie.

Tension, compression, shear, bending and torsion are all primary load effects. Secondary load effects such as deflection are derived from the primary load effects.

Structural Elements

Cable

Cables, cords, strings, ropes and wires are flexible because of their small lateral dimensions in relation to their length and have therefore very limited resistance to bending. Cables are the most efficient structural elements since they allow every fibre of the cross section to resist the applied loads up to any allowable stress. Their applications are however, limited by the fact that they can be used only in tension.

Column

Rods or bars under compression are the basis for vertical structural elements such as columns, stanchions, piers and pillars. They are often used to transfer load effects from beams, slabs and roof trusses to the foundations. They may be loaded axially or they may have to be designed to resist bending when the load is eccentric.

Ties and Struts

When bars are connected with pin joints and the resulting structure loaded at the joints, a structural framework called a pin jointed truss or lattice frame is obtained. The members are only subjected to axial loads and members in tension are called ties while members in compression are called struts.

Struts

Beam

A beam is a member used to resist a load acting across its longitudinal axis by transferring the effect over a distance between supports - referred to as the span.

Beam

The load on a beam causes longitudinal tension and compression stresses and shear stresses. The magnitudes of these will vary along and within the beam.

The span that a beam can usefully cover is limited due to the self-weight of the beam, i.e., it will eventually reach a length when it is only capable of supporting itself. This problem is overcome to a degree with the hollow web beam and the lattice girder or frame. The safe span for long lightly loaded beams can be increased somewhat by removing material from the web even though the shear capacity will be reduced.

Hollow web beam

The arch can be shaped such that, for a particular loading, all sections of the arch are under simple compression with no bending. Arches exert vertical and horizontal thrusts on their supports, which can prove troublesome in the design of supporting walls. This problem of horizontal thrust can be removed by connecting a tension member between the support points.

Arch

Design of members in direct stress

Tensile Systems

Tensile systems allow maximum use of the material because every fibre of the cross section can be extended to resist the applied loads up to any allowable stress.

As with other structural systems, tensile systems require depth to economically transfer loads across a span. As the sag (h) is decreased, the tensions in the cable (T1 and T2) increase. Further decreases in the sag would again increase the magnitudes of T1 and T2 until the ultimate condition, an infinite force, would be required to transfer a vertical load across a cable that is horizontal (obviously an impossibility).

Force diagram

A distinguishing feature of tensile systems is that vertical loads produce both vertical and horizontal reactions. Because cables cannot resist bending or shear, they transfer all loads in tension along their lengths. The connection of a cable to its supports acts as a pin joint (hinge) with the result that the reaction (R) must be exactly equal and opposite to the tension in the cable (T). The R can be resolved into the vertical and horizontal directions producing the forces V and H. The horizontal reaction (H) is known as the thrust.

The values of the components of the reactions can be obtained by using the conditions of static equilibrium and resolving the cable tensions into vertical and horizontal components at the support points.

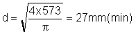
Example 12

Two identical ropes support a load P of 5 kN as shown in the figure. Calculate the required diameter of the rope, if its ultimate strength is 30 N/mm² and a factor of safety of 4.0 is applied. Also determine the horizontal support reaction at B.

The allowable stress in the rope is 30/4 = 7.5N/mm²

Stress = Force / area required = (4.3 x 103 ) / 7.5 = 573mm²

A = p r2 =p d2 / 4

thus

At support B. reaction composed of two components.

Bv = T2 sin 30° = 2.5 sin 30° = 1.25kN

BH = T2 cos 30° = 2.5 cos 30° = 2.17kN

Short Columns

A column which is short (i.e., the height is small compared to the cross section area) is likely to fail due to crushing of the material.

Note however, that slender columns, being tall compared to the cross section area, are more likely to fail by buckling with a much smaller load than that which would cause failure due to crushing. Buckling is dealt with later.

Example 13

A square concrete column, which is 0.5m high, is made of a nominal concrete mix of 1:2:4, with a permissible direct compression stress of 5.3N/mm². What is the required cross section area if the column is required to carry an axial load of 300kN?

A = F/s = 300000N/5.3N/mm2 = 56600mm²

i.e., the column should be minimum 240mm square.

Slender columns

Properties of structural sections

It will be necessary, for example, when designing beams in bending, columns in buckling, etc., to refer to a number of basic geometrical properties of the cross sections of struc tural members.

Area

Cross-section areas (A) are generally calculated in mm², since the dimensions of most structural members are given in mm, and values for design stresses found in tables are usually given in N/mm².

Centre of Gravity or Centroid

This is a point about which the area of the section is evenly distributed. Note that the centroid is sometimes outside the actual cross section of the structural element.

Reference Axes

It is usual to consider the reference axes of structural sections as those passing through the centroid. In general, the x-x axis is drawn perpendicular to the greatest lateral dimension of the section, and the y-y axis is drawn perpendicular to the x-x axis, intersecting it at the centroid.

Reference Axes

Moment of Inertia

Area moment of inertia (1), or as it is correctly called, second moment of area, is a property which measures the distribution of area around a particular axis of a cross section, and is an important factor in its resistance to bending. Other factors such as the strength of the material from which a beam is made, are also important for resistance to bending, and are allowed for in other ways. The moment of inertia only measures how the geometric properties or shape of a section affects its value as a beam or slender column. The best shape for a section is one which has the greater part of its area as far as possible away from its centroidal, neutral axis.

For design purposes it is necessary to use the moment of inertia of a section about the relevant axis or axes.

Calculation of Moment of Inertia

Consider a rectangle and let it consist of an infinite number of strips. The moment of inertia about the x-x axis of such a strip is then the area of the strip multiplied by the square of the perpendicular distance from its centroid to the x-x axis, i.e.: b x y x y2

Calculation of Moment of Inertia

The sum of all such products is the moment of inertia about the x-x axis for the whole cross section.

By applying calculus and integrating as follows, the exact value for the moment of inertia can be obtained.

For a circular cross section:

IXX = p D4 / 64

Moments of inertia for other cross sections are given later and in Table 4.3. For structural rolled-steel sections, the moment of inertia can be found tabulated in handbooks. Some examples are given in Appendix V:3.

Principle of Parallel Axes The principle of parallel axes states: To find the moment of inertia of any area (e.g., top flange of beam shown below) about any axis parallel to its centroidal axis, the product of the area of the shape and the square of the perpendicular distance between the axes must be added to the moment of inertia about the centroidal axis of that shape.

Example 14

Determine the moment of inertia about the x-x axis and the y-y axis for the I-beam shown in the figure. The beam has a web of 10mm plywood and the flanges are made of 38 by 100mm timber, which are nailed and glued to the plywood web.

Example 14

The whole cross section of the beam and the cross section of the web both have their centroids on the x-x axis, which therefore is their centroidal axis. Similarly, the F-F axis is the centroidal axis for the top flange.

Ixx of the bd3 /12 =(10 x 3003)/12 = 22.5x106 mm4

The moment of intertia of one flange about its own centroidal axis (F-F):

IFF of one flange = (86 x 1003)/12 = 7.2 x 106mm4 and from the principle of parallel axes, the lxx of one flange equals:

7.2 x 106 + 86 x 100 x 2002 = 351.2 x 106mm4

The total Ixx of the web plus two flanges thus equals:

Ixx = 22.5 x 106 + 351.2 x 106 + 351.2 x 106 = 725 x 106mm4

The Iyy of the above beam section is most easily found by adding the Iyy of the three rectangles of which it consists, because the y-y axis is their common neutral axis, and moments of inertia may be added or subtracted if they are related to the same axis.

Iyy = 2 x [(100 x 863)/12] + (300 x 103)/12

= 2 x 5.3 x 106 + 0.025 x 106

= 10.6 x 106mm4

Section Modulus

In problems involving bending stresses in beams, a property called section modulus (Z) is useful. It is the ratio of the moment of inertia (1) about the neutral axis of the section to the distance (C) from the neutral axis to the edge of the section.

Unsymmetrical Cross Sections

Sections for which a centroidal reference axis is not an axis of symmetry will have two section moduli for that axis.

Zxx1 = Ixx/y1;

Zxx2 = Ixx/y2

Unsymmetrical Cross Sections

Radius of Gyration

Radius of gyration (r) is the property of a cross section which measures the distribution of the area of the cross section in relation to the axis. In structural design it is used in relation to the length of compression members, such as columns and struts, to estimate their slenderness ratio and hence their tendency for buckling. Slender compression members tend to buckle about the axis for which the radius of gyration is a minimum value. From the equations below, it will be seen that the least radius of gyration is related to the axis about which the least moment of inertia occurs.

(general relationship I = Ar2)

Table 4.3 Properties of Structural Sections


Contents - Previous - Next